2023. 5. 17. 16:13ㆍ생활
2023년 국가공무원 및 지방공무원 보수가 국무회의 통과후 2023년 1월 3일 확정이 되었습니다. 적용은 2023년 1월 1일 이후 지급하는 공무원 보수부터 됩니다.

아래부터는 2023년 확정된 국가공무원 및 지방공무원 봉급표 입니다.
1. 일반직공무원과 일반직에 준하는 특정직 및 별정직 공무원 등

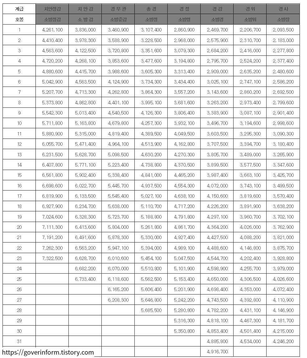
2. 경찰 소방공무원 및 의무경찰 등

1) 경찰대학생: 1학년 810,000원, 2학년 990,000원, 3학년 1,000,000원, 4학년 1,100,000원입니다.
2) 경찰간부후보생이나 소방간부후보생의 경우 임용예정 계급의 1호봉에 해당하는 봉급의 80퍼센트에 상당하는 금액이 적용됩니다.
3) 의무소방원: 특방의 경우 지원에 의하지 않고 임용된 하사 봉급 상당액, 수방은 병장 봉급 상당액, 상방은 상등병 봉급 상당액, 일방은 일등병 봉급 상당액, 이방은 이등병 봉급 상당액입니다.
4) 의무경찰: 특경은 지원에 의하지 않으며 임용된 하사 봉급 상당액, 수경은 병장 봉급 상당액, 상경은 상등병 봉급상당액, 일경은 일등병 봉급 상당액, 이경은 이등병 봉급 상당액입니다.
3. 군인의 봉급표

1) 대장: 8,802,700원, 중장 8,645,800원입니다.
2) 사관생도 1학년 810,000원, 2학년 900,000원, 3학년 1,000,000원, 4학년 1,100,000원
3) 부사관후보생이나 입영훈련중인 학생군사교육단 3학년 사관후보생은 1,000,000원 입영훈련중인 학생군사교육단 4학년 사관후보생: 1,100,000원
4) 본인의 지원에 의하지 않고 임용된 하사의 경우 1,000,000원
5) 공군항공과학고등학교 1학년 512,000원, 2학년 640,000원, 3학년 800,000원
6) 병 이등병 600,000원 일등병 680,000원 상등병 800,000원 병장 1,000,000원
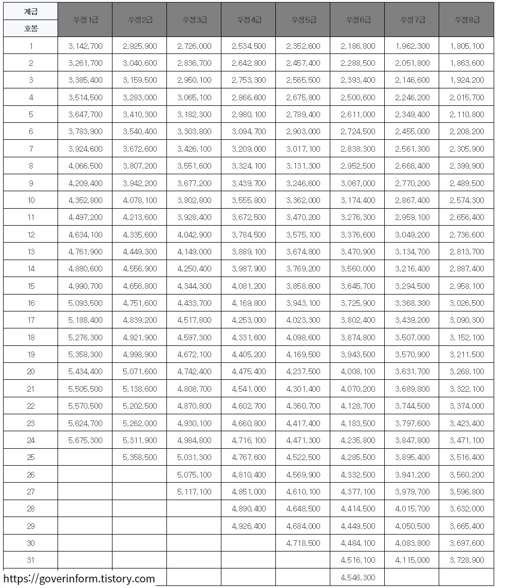
4. 일반직 우정직군 공무원

5. 지도직 공무원
농, 어촌 등지에서 해당 주민들을 지도하는 공무원으로 지도사와 지도관이 있습니다.

공무원의 보수체계
1) 공무원의 보수란 봉급과 각종 수당을 포함합니다. 봉급은 기본급여이며, 수당은 부가급여 입니다.

2) 공무원의 봉급은 호봉제와 연봉제 두가지가 있습니다. 연봉제에는 고정급적연봉제, 성과급적연봉제, 직무성과급연봉제가 있습니다.

공무원 봉급표 2023 참고 바랍니다.